OSLO Analysis - Kidger Triplet

System Specification

*LENS DATA
Kidger triplet
 SRF      RADIUS      THICKNESS   APERTURE RADIUS       GLASS  SPE  NOTE
 OBJ       --        1.0000e+20    4.0403e+19             AIR     

  1     18.609000      2.500000      7.000000            SK16 C   
  2    460.970000      5.157000      7.000000             AIR     

  3    -29.934000      1.000000      6.000000              F6 C   
  4     18.605000      1.207000      6.000000             AIR     

 AST       --          4.007000      4.919629 AS          AIR     

  6     67.594000      2.500000      7.000000            SK16 C   
  7    -22.160000     41.605240      7.000000             AIR     

 IMS       --            --         20.133371 S                   

*SPECIAL DATA TYPES
 NO SPECIAL DATA TYPES

*SOLVES
 NO SOLVE DATA

*PICKUPS
 NO PICKUP DATA

*APERTURES
 SRF   TYPE APERTURE RADIUS
  0     SPC   4.0403e+19
  1     SPC     7.000000
  2     SPC     7.000000
  3     SPC     6.000000
  4     SPC     6.000000
  5     CMP     4.919629
  6     SPC     7.000000
  7     SPC     7.000000
  8     CMP    20.133371

*WAVELENGTHS
CURRENT  WV1/WW1     WV2/WW2     WV3/WW3
   1    0.587560    0.486130    0.656270
        1.000000    1.000000    1.000000

*REFRACTIVE INDICES
 SRF  GLASS/CATALOG        RN1         RN2         RN3        VNBR        TCE
  0   AIR               1.000000    1.000000    1.000000      --          --    
  1   SK16              1.620410    1.627557    1.617272   60.322758   63.000000
      SCHOTT OLD    
  2   AIR               1.000000    1.000000    1.000000      --      236.000000
  3   F6                1.636359    1.649088    1.631082   35.340591   85.000000
      SCHOTT OLD    
  4   AIR               1.000000    1.000000    1.000000      --      236.000000
  5   AIR               1.000000    1.000000    1.000000      --      236.000000
  6   SK16              1.620410    1.627557    1.617272   60.322758   63.000000
      SCHOTT OLD    
  7   AIR               1.000000    1.000000    1.000000      --      236.000000
  8   IMAGE SURFACE

*INTERNAL TRANSMITTANCE (5 MM)
 SRF  GLASS/CATALOG      ITN1        ITN2        ITN3    
  0   AIR               1.0         1.0         1.0     
  1   SK16              0.999       0.998       0.999   
      SCHOTT OLD    
  2   AIR               1.0         1.0         1.0     
  3   F6                0.999       0.998       0.999   
      SCHOTT OLD    
  4   AIR               1.0         1.0         1.0     
  5   AIR               1.0         1.0         1.0     
  6   SK16              0.999       0.998       0.999   
      SCHOTT OLD    
  7   AIR               1.0         1.0         1.0     
  8   IMAGE SURFACE

Paraxial Setup

 APERTURE
   Entrance beam radius: *    6.250000    Image axial ray slope:    -0.125015
   Object num. aperture:    6.2500e-20    F-number:                  3.999519
   Image num. aperture:       0.125015    Working F-number:          3.999519
 FIELD
   Field angle:          *   22.000000    Object height:          -4.0403e+19
   Gaussian image height:    20.198883    Chief ray ims height:     20.105174
 CONJUGATES
   Object distance:         1.0000e+20    Srf 1 to prin. pt. 1:     10.142043
   Gaussian image dist.:     41.830791    Srf 7 to prin. pt. 2:     -8.163199
   Overall lens length:      16.371000    Total track length:      1.0000e+20
   Paraxial magnification: -4.9994e-19    Srf 7 to image srf:       41.605240
 OTHER DATA
   Entrance pupil radius:     6.250000    Srf 1 to entrance pup.:   11.557909
   Exit pupil radius:         6.077870    Srf 7 to exit pupil:      -6.786327
   Lagrange invariant:       -2.525164    Petzval radius:         -113.737979
   Effective focal length:   49.993991
 SPOT DIAGRAMS
   Aperture divisions:       17.030000    Gaussian apod. spec.:     Off  
   X 1/e^2 entr. irrad.:      1.000000    Y 1/e^2 entr. irrad.:      1.000000

Paraxial Raytrace

 SRF      PY          PU          PI          PYC         PUC         PIC
  0       --      6.2500e-20  6.2500e-20 -4.0403e+19    0.404026    0.404026

  1     6.250000   -0.128591    0.335859   -4.669698    0.345413    0.153089
  2     5.928522   -0.200391   -0.115730   -3.806166    0.554588    0.337156

  3     4.895105   -0.058867   -0.363921   -0.946157    0.326624    0.586196
  4     4.836238    0.069090    0.201076   -0.619533    0.513283    0.293324

  5     4.919629    0.069090    0.069090 -7.7716e-16    0.513283    0.513283

  6     5.196471    0.013203    0.145967    2.056727    0.305112    0.543711
  7     5.229477   -0.125015   -0.222785    2.819505    0.415469    0.177878

  8     0.028197   -0.125015   -0.125015   20.105174    0.415469    0.415469

Seidel Wavefront Aberration Coefficients

*SEIDEL WAVEFRONT ABERRATION COEFFICIENTS - WAVELENGTH 1
 COEFFICIENTS IN WAVELENGTHS
 SRF       W040        W131        W222        W220        W311
  1     11.902487   21.701191    9.891666   60.766857   55.396539
  2      5.368521  -62.560339  182.256726   88.874912 -517.837682

  3    -22.676746  146.108747 -235.348650 -152.921619  492.645339
  4    -11.702976  -68.288015  -99.616817 -106.518568 -310.773147

  5        --          --          --          --          --    

  6      1.435463   21.387733   79.666841   55.201255  411.236623
  7     19.307181  -61.661621   49.232402   71.492259 -114.162928

 SUM     3.633929   -3.312304  -13.917832   16.895095   16.504744

Ray Trace Analysis

Spot Diagram Analysis

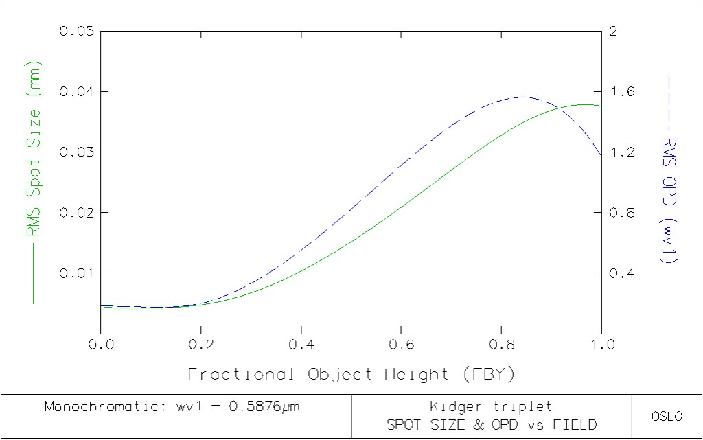
Spot Size & OPD vs. Field


Maintained by John Loomis, last updated 28 May 2009